A fizika érettségin az optika témakörében, azon belül is a fénytörés jelenségénél találkozhatunk Snellius-Descartes törvénnyel.
A videóban a táblán láhtató ábrán a fény az első, ritkás közegből c1 sebességgel átlép az optikailag sűrűbb közegbe, ahol c2 sebességgel halad tovább. Ez az eset áll fent akkor például, ha levegőből vízbe lép át a fény. Levegőben a fénysebesség körülbelül 300 000 km/sec, azonban a vízben ennek az értéknek már csak 2/3-a lesz, azaz 200 000 km/sec.
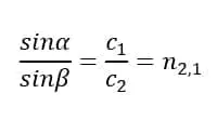
Az α szög a fénysugár és a beesési merőleges által közre zárt szög. β-val jelöljük a törési szöget, ami a beesési merőleges, és a fénysugár közötti szög, az optikailag sűrűbb közegbe. A β szög kisebb lesz, mint az α szög.
A Snellius-Descartes törvény a szögek szinuszának arányára felírva a következőképpen néz ki:









